Lot 1376
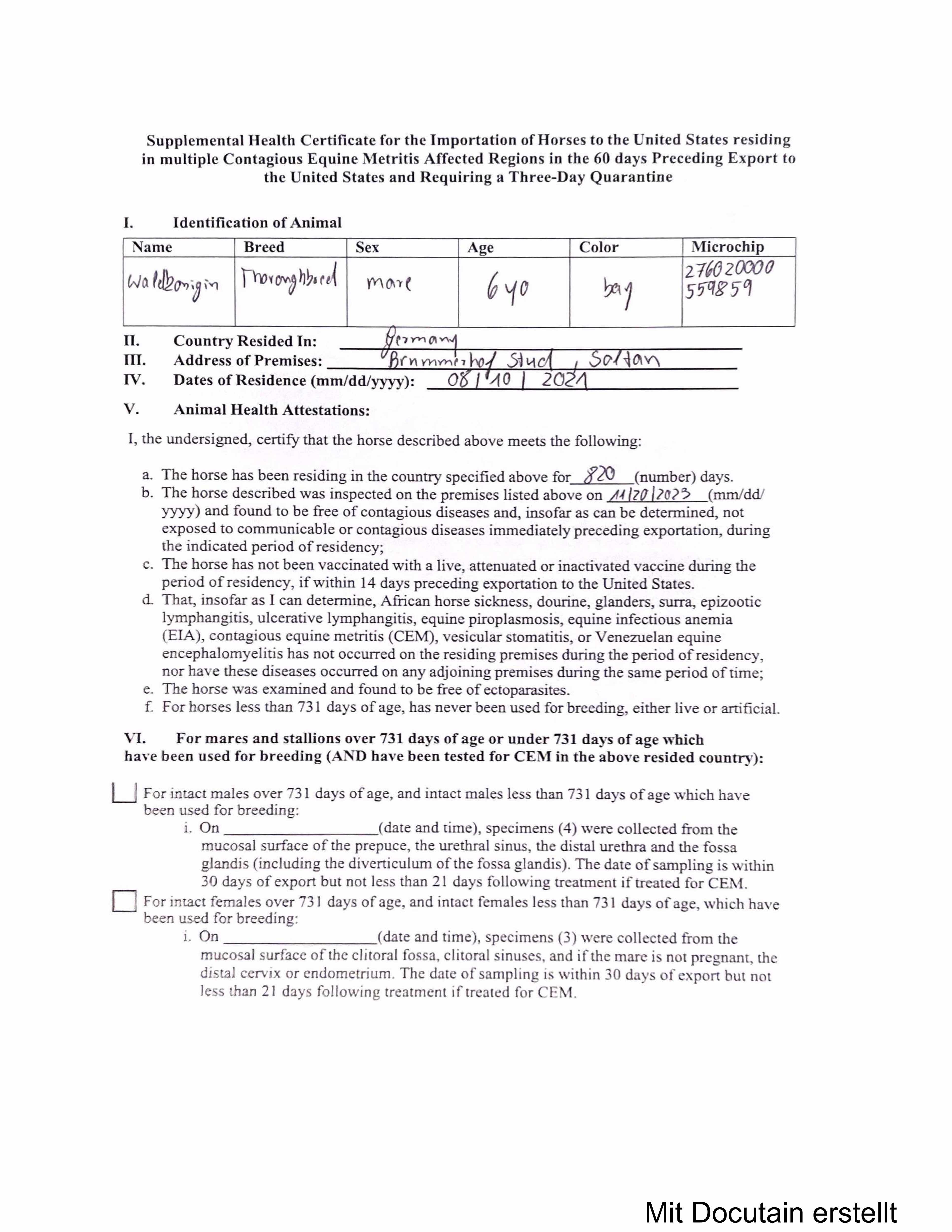
Waldkonigin (GER) B.M.

Purchaser:
Ryebridge Stud
Price:
16,000 gns

Info

Consignor: The Castlebridge Consignment

Contact: Emma Chandler  ✆ 01638 561116  ✉ sales@castlebridgesales.com

Catalogue Updates

Monday 27 November:  Under 2nd dam, WALDBLUME (GER), dam of: Waldadler (GER), 2 races at 3 and 4 years, 2023 in Germany and £37,934 and placed 7 times including second in Land Wurttemberg Trophy, Baden-Baden, Gr.3 and third in Munchener Herbst Preis, Munich, L..
Monday 30 October:  Under 1st dam, WALDTRAUT (GER), dam of: WALDFRIEDA (GER) (f. by Blue Point (IRE)), 1 race at 2 years, 2023 in Germany and £16,703 viz Alson-Trophy, Hannover, L., placed once, from only 3 starts.

Documentation

Sales for Progeny

December Foal Sale 2025 lot 513 F. by Ghaiyyath (IRE) 2025, Ryebridge Stud, Ireland=>Sean Grassick Bloodstock 60,000 gns