Consignor: a Gentleman
Contact: Dawn Laidlaw ✆ +44 (0)1638 730070 ✉ dlaidlaw@godolphin.com
Location: CB8 9HE
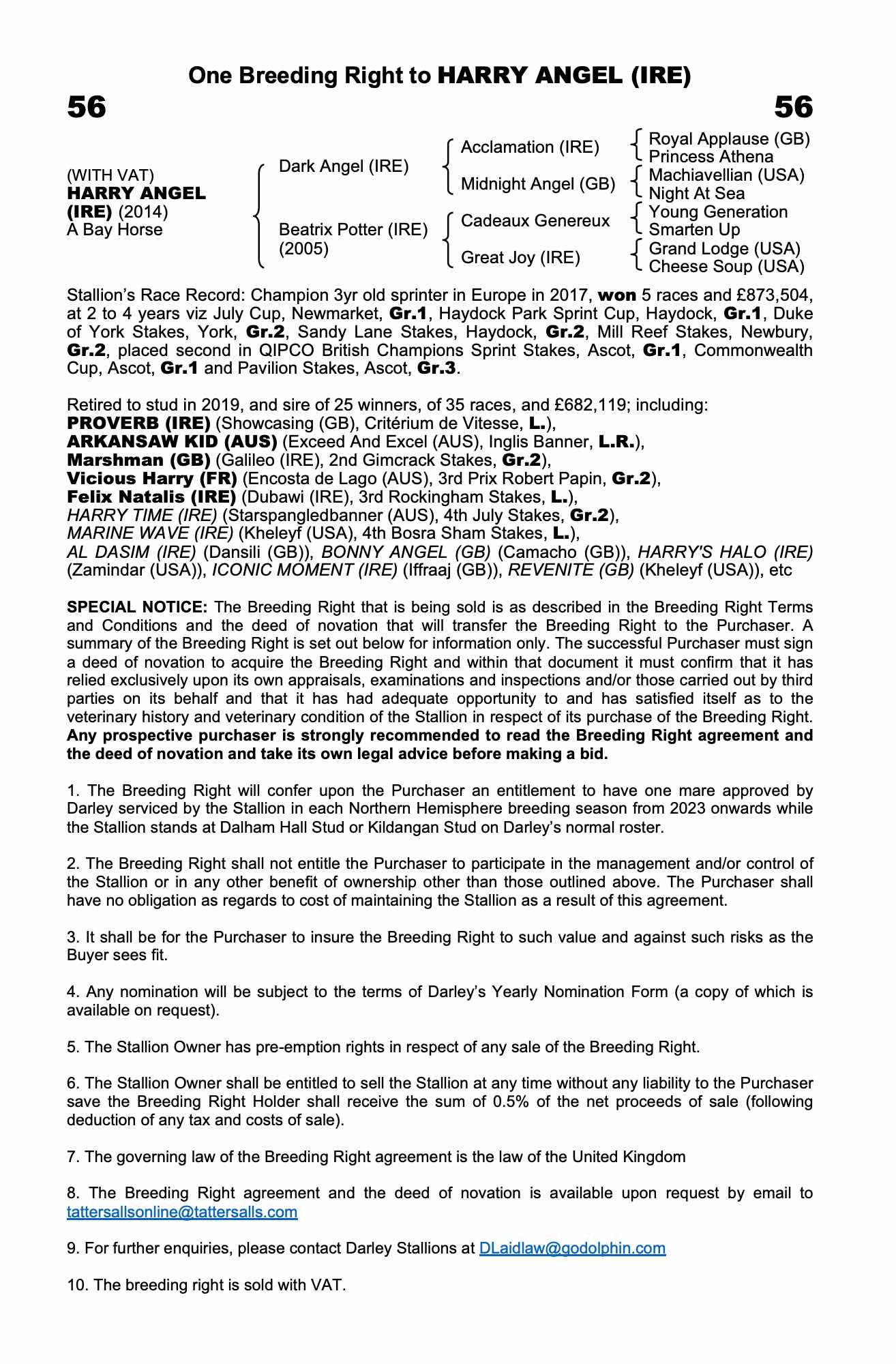
Vendor's Notes: The Breeding Right agreement and the deed of novation is available upon request by email to tattersallsonline@tattersalls.com
Your bid cannot be placed as you have exceeded your current credit limit.
You can request an increase in your credit limit below if needed.
For time sensitive requests please call Tattersalls on +44(0)1638665931