Consignor: a Gentleman
Contact: National Stud ✆ 01638 675929 ✉ stallions@nationalstud.co.uk
🇬🇧 Location: The National Stud, Newmarket, CB8 0XE, United Kingdom
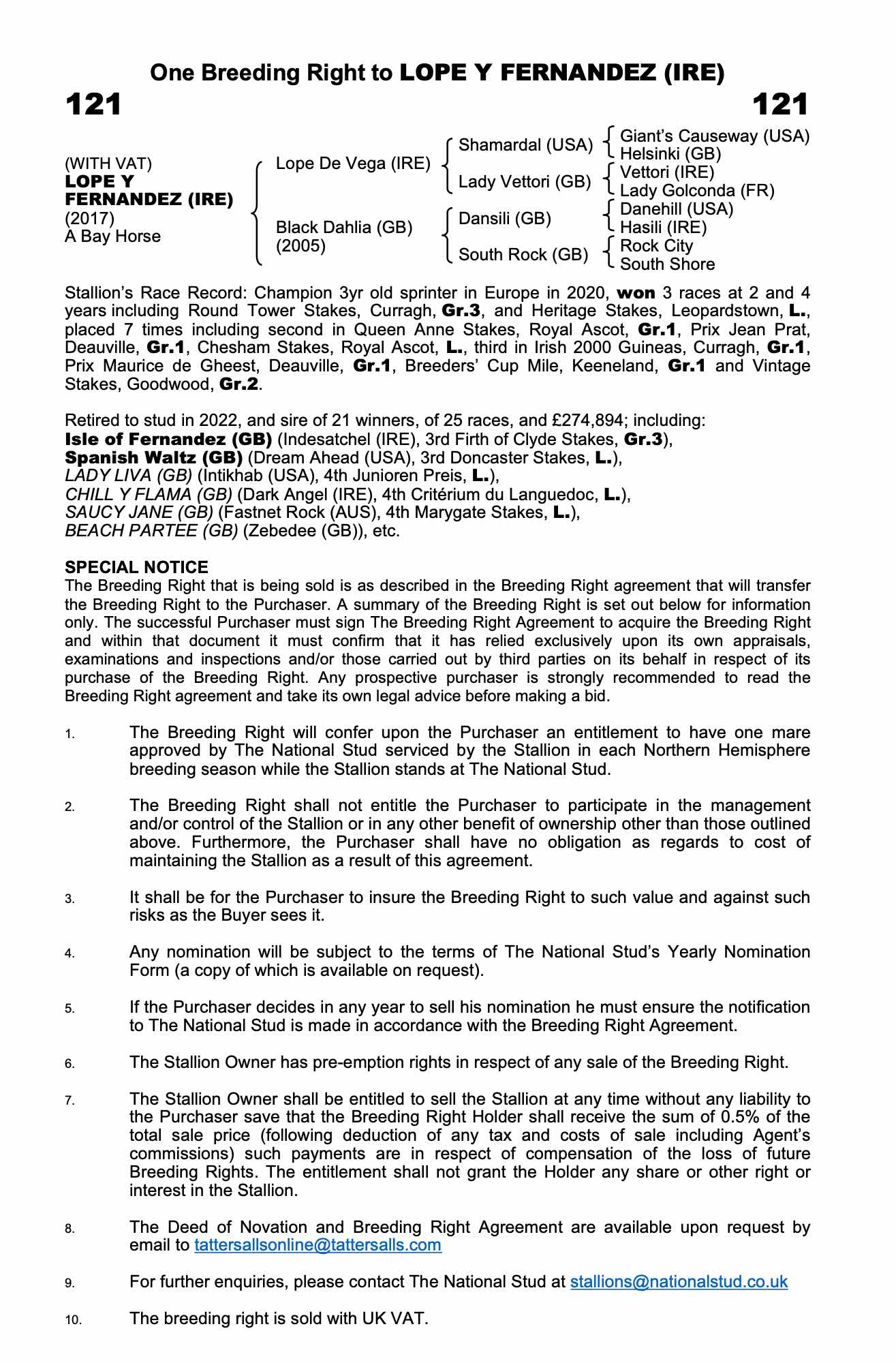
Vendor's Notes: The Breeding Right agreement and the deed of novation is available upon request by email to tattersallsonline@tattersalls.com.
Your bid cannot be placed as you have exceeded your current credit limit.
You can request an increase in your credit limit below if needed.
For time sensitive requests please call Tattersalls on +44(0)1638665931