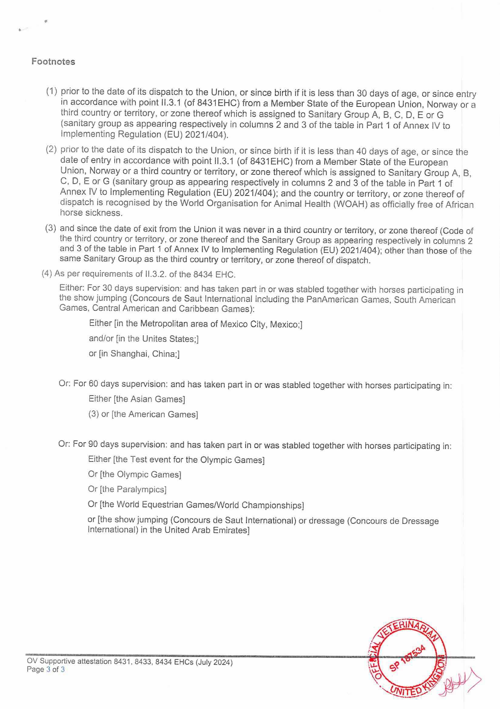
Lot 1238
A'Ali (IRE) / Under The Covers (GB) Ch.F. (GB)

Purchaser:
Compas Equine / Dave Loughnane
Price:
8,000 gns

Info

Consignor: Llety Farms

Catalogue Updates

Wednesday 14 August:  Half brother: COVER POINT (GB) (2021 g. by Soldier's Call (GB)), won 2 races at 2 and 3 years, 2024 and £23,428 and placed twice.

Documentation

Media

Sales for Half Brothers/Sisters

Craven Breeze Up Sale 2026 lot 127 F. by Havana Grey (GB) 2024, A. C. Bloodstock

Online Sale - 19th November 2025 lot 118 Proud To Be Fox (GB) (G. by Mohaather (GB)), Habton Grange Stables (T. Easterby)=>Hadi Alhuwailah 2,400 gns 

October Yearling Sale, Book 2 2025 lot 1309 F. by Havana Grey (GB) 2024, Llety Farms=>Creighton Schwartz / Quirke Bloodstock 65,000 gns 

Autumn Horses In Training Sale 2024 lot 1137 Cover Point (GB) (G. by Soldier's Call (GB)), Barton Sales=>Blandford Bloodstock / Ebrahim Al-Afoo 80,000 gns 

October Yearling Sale, Book 2 2023 lot 793 C. by Mohaather (GB) 2022, Llety Farms=>SackvilleDonald 135,000 gns 

October Yearling Sale, Book 2 2022 lot 965 C. by Soldier's Call (GB) 2021, Llety Farms=>Joe Foley 57,000 gns 

October Yearling Sale, Book 2 2021 lot 1086 C. by Showcasing (GB) 2020, Llety Farms=>Kern/Lillingston Association 80,000 gns