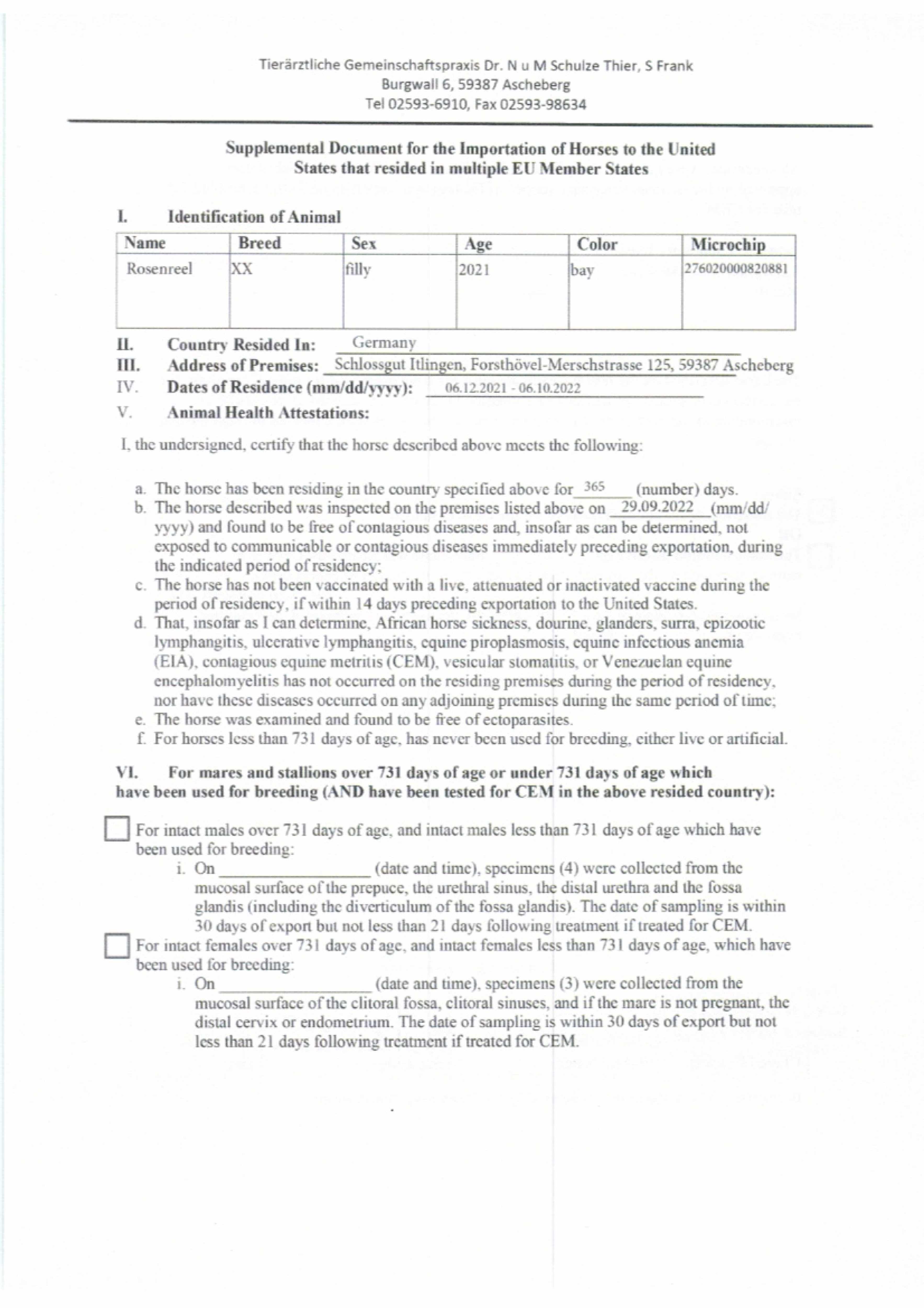
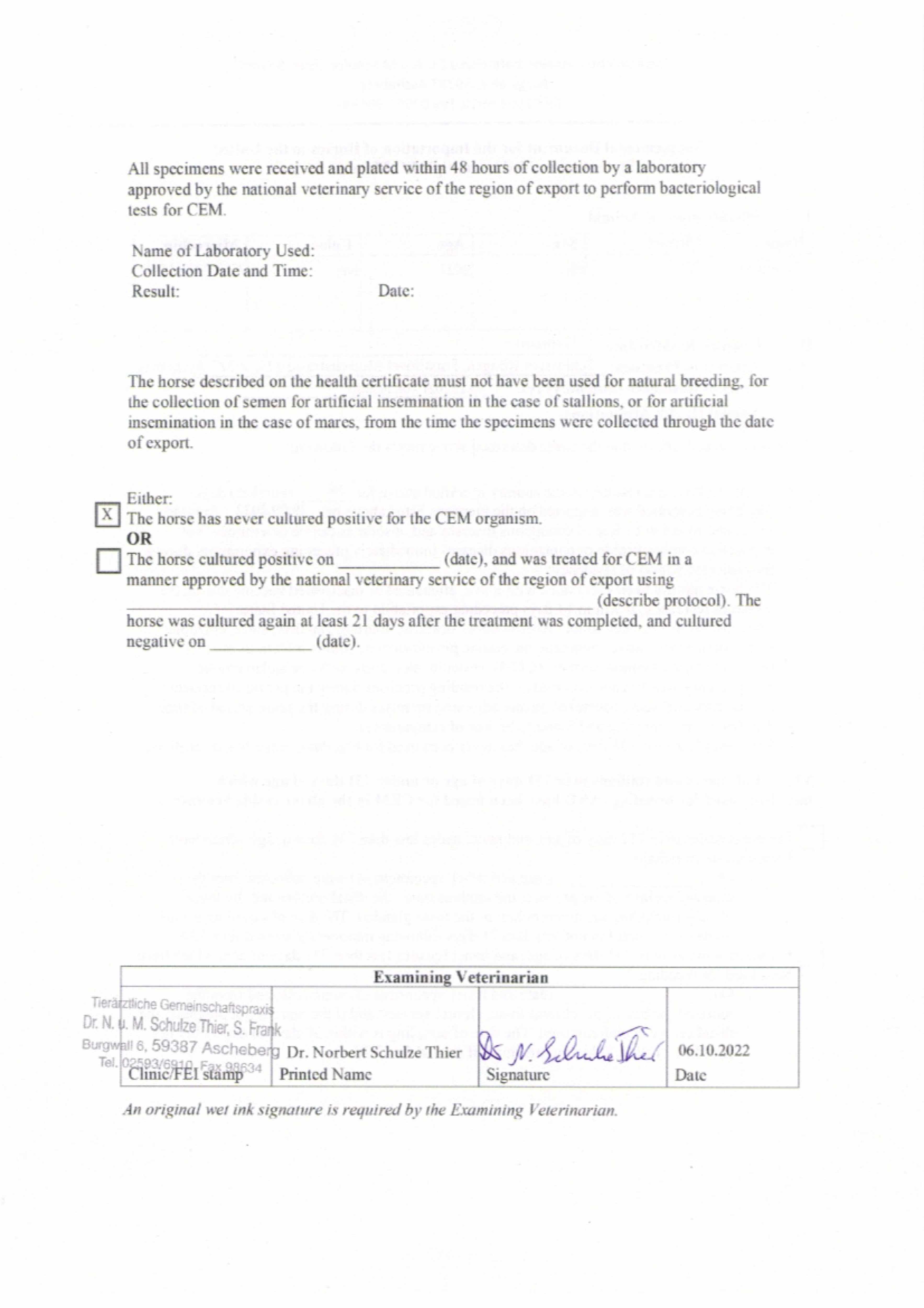
Lot 1471
Rosenreel (GER) B.F.

Purchaser:
Stuart Williams
Price:
40,000 gns

Info

Consignor: Stauffenberg Bloodstock

Contact: Philipp Graf Stauffenberg  ✆ +491716507181  ✉ bloodstock@stauffenberg.com

Location: Schlossgut Itlingen, Forsthoevel-Merschstrasse 125, D 59387 Ascheberg-Herbern www.stauffenberg.com

Catalogue Updates

Monday 12 September:  Half-sister ROSSCARBERY (GER), placed second in Prix Jean Romanet, Deauville, Gr.1.

Documentation

Media

Sales for Half Brothers/Sisters

December Mare Sale 2022 lot 1906 Rosscarbery (GER) (F. by Sea The Stars (IRE)), Athassel House Stud, Ireland (P. Twomey)=>C Gordon Watson Bloodstock 1,000,000 gns 

October Yearling Sale, Book 2 2019 lot 1334 F. by Sea The Stars (IRE) 2018, Stauffenberg Bloodstock=>Stroud Coleman Bloodstock / George Murphy 130,000 gns