Lot 822
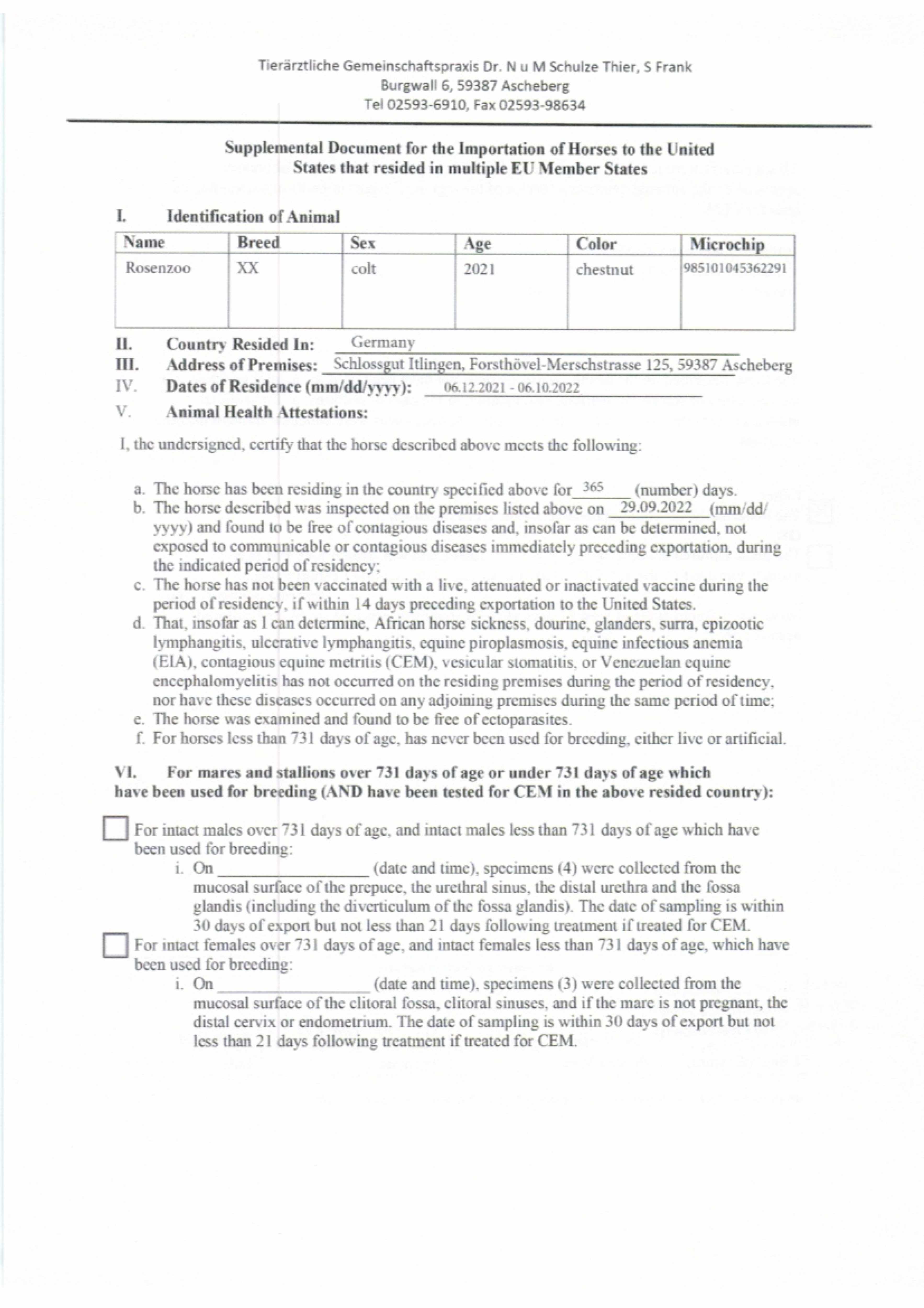
Rosenzoo (IRE) Ch.C.

Purchaser:
Vendor
Price:
72,000 gns

Info

Consignor: Stauffenberg Bloodstock

Contact: Philipp Graf Stauffenberg  ✆ +491716507181  ✉ bloodstock@stauffenberg.com

Location: Schlossgut Itlingen, Forsthoevel-Merschstrasse 125, D 59387 Ascheberg-Herbern www.stauffenberg.com

Catalogue Updates

Monday 5 September:  Under 1st dam: ROSSCARBERY (GER), placed second in Prix Jean Romanet, Deauville, Gr.1.

Documentation

Media

Other Sales for this Lot

Autumn Horses In Training Sale 2024 lot 349, Kingsley Park=>Bolat Kozhamseitov 22,000 gns 

Sales for Half Brothers/Sisters

Autumn Horses In Training Sale 2022 lot 664 Ruling (GER) (G. by Camelot (GB)), Jamie Railton (Agent)=>Ciaron Maher Bloodstock 300,000 gns 

August Sale 2020 lot 167 Hint of Stars (IRE) (G. by Sea The Stars (IRE)), Baroda Stud, Ireland=>Kevin Philippart De Foy 7,000 gns 

October Yearling Sale, Book 2 2019 lot 1335 C. by Camelot (GB) 2018, Stauffenberg Bloodstock=>David Redvers Bloodstock 210,000 gns 

October Yearling Sale, Book 1 2018 lot 77 C. by Sea The Stars (IRE) 2017, Stauffenberg Bloodstock=>Stuart Williams 115,000 gns