Lot 750
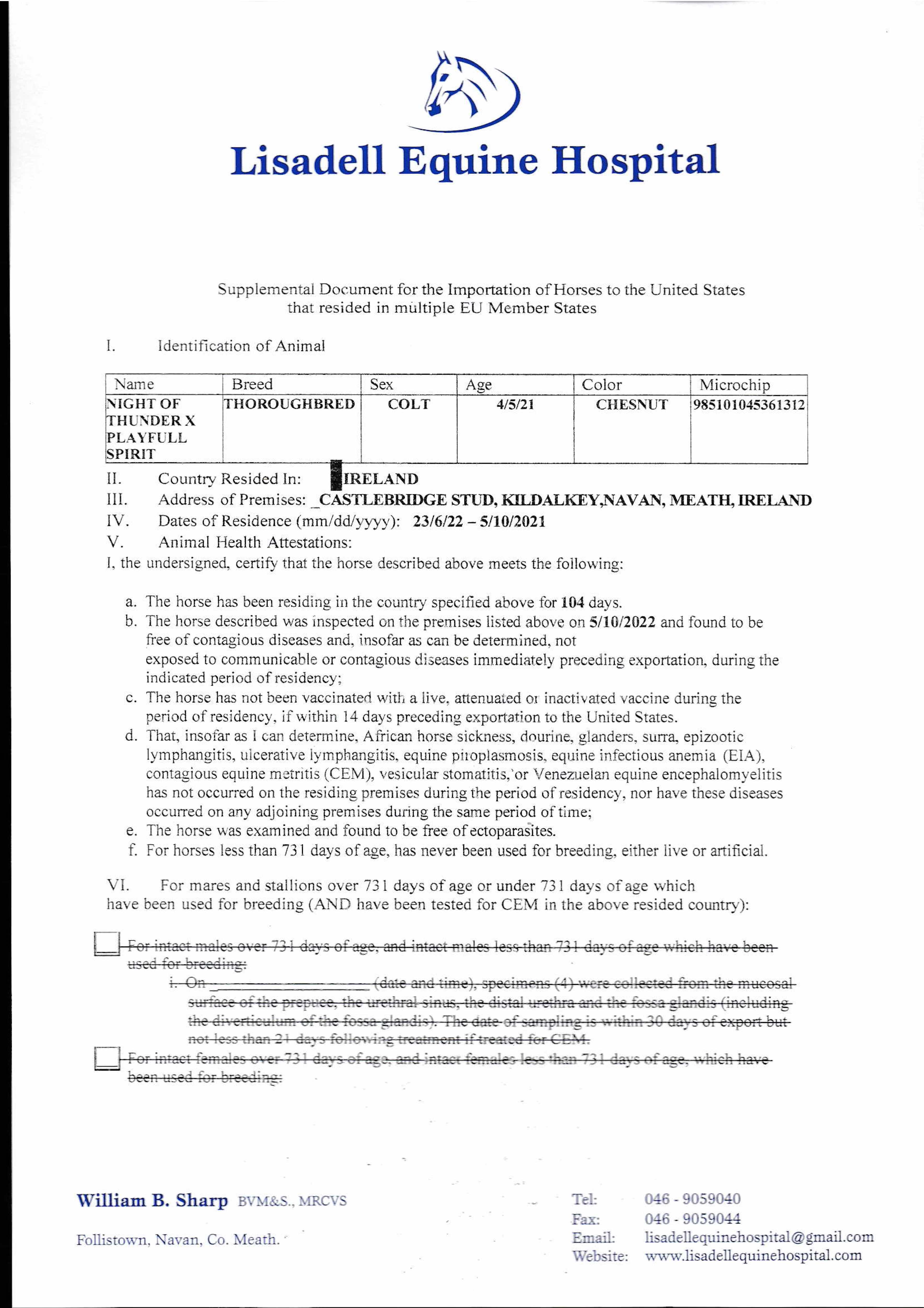
Night of Thunder (IRE) / Playfull Spirit (GB) Ch.C. (IRE)

Purchaser:
Gainsborough Thoroughbreds
Price:
200,000 gns

Info

Consignor: The Castlebridge Consignment

Contact: Emma Palmer   ✆ 01638561116  ✉ sales@castlebridgesales.com

Documentation

Media

Other Sales for this Lot

Online Sale - 2nd April 2025 lot 31, Musley Bank Stables (R. Fahey)=>A W Carroll 10,500 gns 

Sales for Half Brothers/Sisters

Autumn Horses In Training Sale 2025 lot 936 Mencolek (IRE) (G. by Wootton Bassett (GB)), Godolphin=>Tom Midgley 16,000 gns 

September Yearling Sale Part 1 2025 lot 130 C. by Saxon Warrior (JPN) 2024, The Castlebridge Consignment=>Clive Cox Racing €40,000

October Yearling Sale, Book 2 2023 lot 568 C. by Wootton Bassett (GB) 2022, The Castlebridge Consignment=>Stroud Coleman Bloodstock 160,000 gns 

October Yearling Sale, Book 2 2021 lot 844 C. by Lope de Vega (IRE) 2020, The Castlebridge Consignment=>Stroud Coleman Bloodstock 120,000 gns