Lot 650
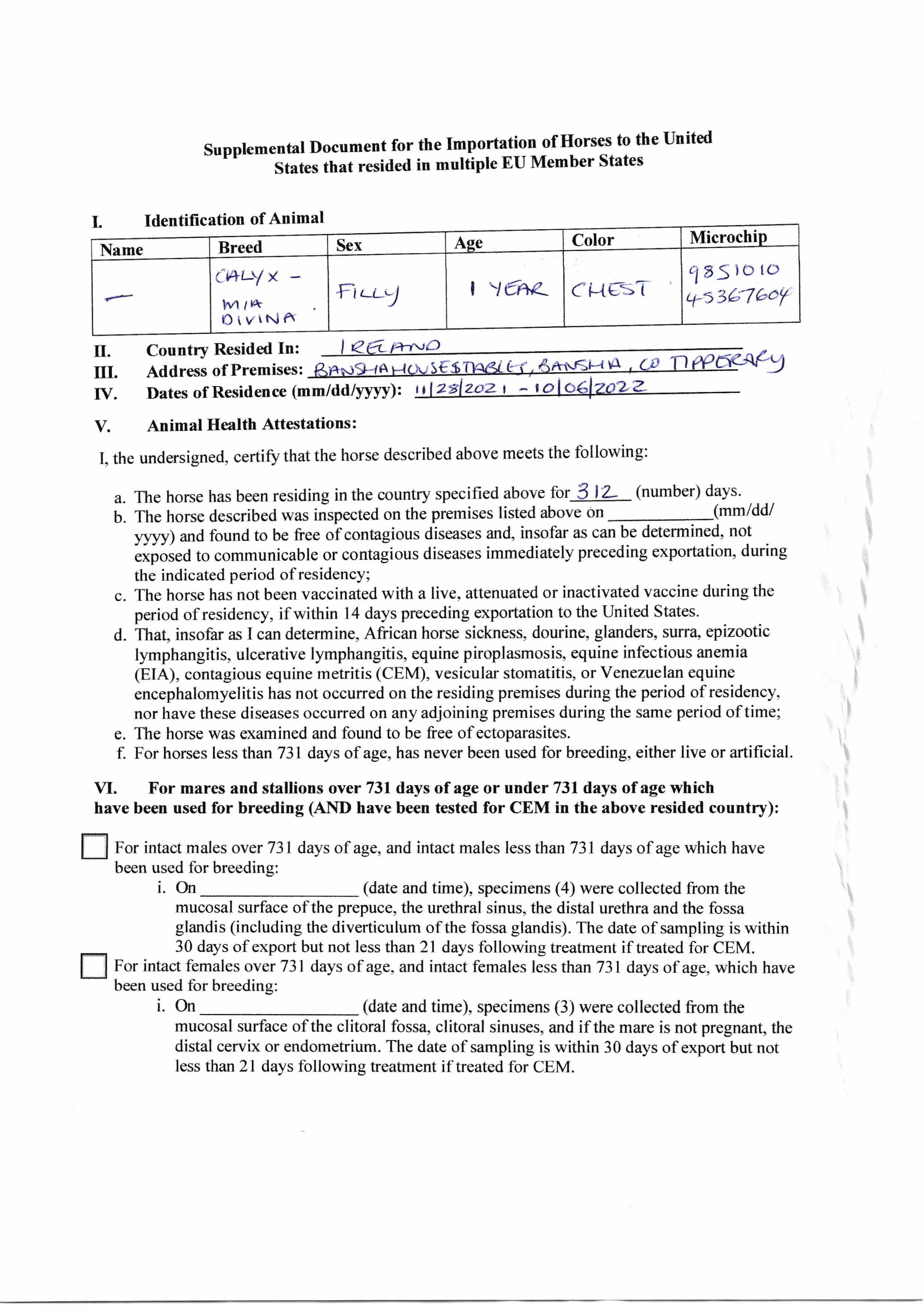
Calyx (GB) / Mia Divina (GB) Ch.F. (IRE)

Purchaser:
Andrew Balding
Price:
145,000 gns

Info

Consignor: Cooneen Stud, Ireland

Catalogue Updates

Saturday 1 October:  Half-brother BRAGGIN RIGHTS (IRE), won 2 races at 2 years, 2022 in France.

Documentation

Media

Other Sales for this Lot

December Mare Sale 2024 lot 1360, Hillwood Stud=>Meadowlands Stud (Co Down) 28,000 gns 

December Foal Sale 2021 lot 913, Amy Marnane Bloodstock=>Vendor 82,000 gns 

Sales for Half Brothers/Sisters

October Yearling Sale, Book 2 2025 lot 1007 C. by Mehmas (IRE) 2024, Norris Bloodstock=>Vendor 70,000 gns 

October Yearling Sale, Book 2 2023 lot 1301 F. by Mehmas (IRE) 2022, Cooneen Stud, Ireland=>Mandore International Agency for Madaket Group 68,000 gns 

December Mare Sale 2021 lot 1843 Hastalavistababy (FR) (F. by Dandy Man (IRE)), Amy Marnane Bloodstock=>Amanda Skiffington 190,000 gns 

December Mare Sale 2021 lot 1825 Mia Mento (IRE) (M. by Casamento (IRE)), The Castlebridge Consignment=>Elwick Stud 60,000 gns 

Autumn Horses In Training Sale 2020 lot 786 Mia Mento (IRE) (F. by Casamento (IRE)), St Gatien Stables (P. Chapple-Hyam)=>BBA Ireland 52,000 gns 

Autumn Horses in Training Sale 2019 lot 1097 Fan Club Rules (IRE) (C. by Gutaifan (IRE)), Amy Marnane Bloodstock=>Luke Comer 70,000 gns 

Autumn Horses in Training Sale 2017 lot 495 Barrington (IRE) (C. by Casamento (IRE)), Faringdon Place Stables (C. Hills)=>Rod Millman Racing 37,000 gns 

December Foal Sale 2015 lot 1375 F. by Epaulette (AUS) 2015, Trickledown Stud=>Sedrati 14,000 gns 

October Yearling Sale, Book 2 2015 lot 1065 C. by Casamento (IRE) 2014, Yeomanstown Stud, Ireland=>SackvilleDonald 60,000 gns