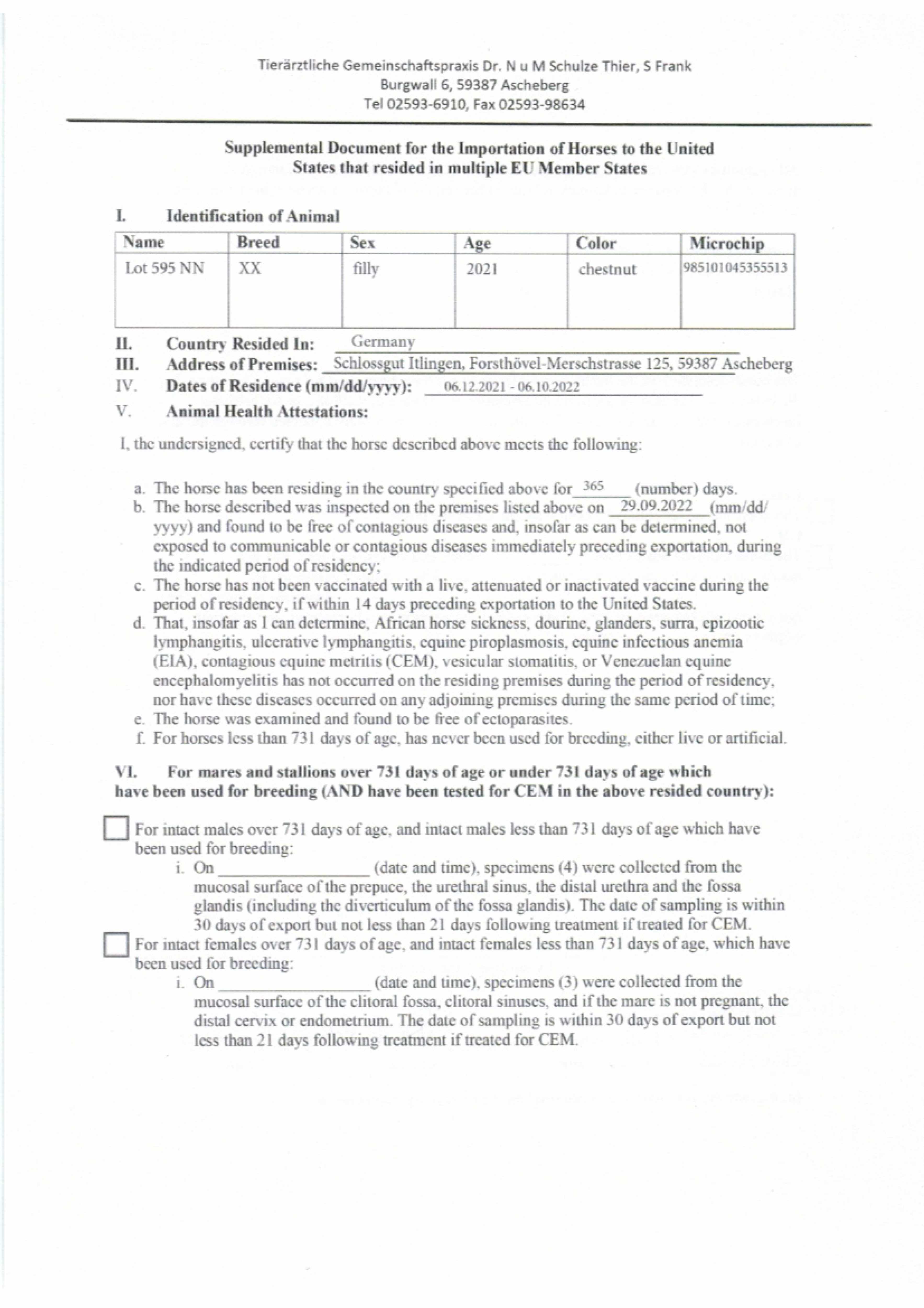
Lot 595
Starspangledbanner (AUS) / Lealas Daughter (IRE) Ch.F. (IRE)

Purchaser:
Highclere Agency
Price:
100,000 gns

Info

Consignor: Stauffenberg Bloodstock

Contact: Philipp Graf Stauffenberg  ✆ +491716507181  ✉ bloodstock@stauffenberg.com

Location: Schlossgut Itlingen, Forsthoevel-Merschstrasse 125, D 59387 Ascheberg-Herbern www.stauffenberg.com

Documentation

Media

Sales for Half Brothers/Sisters

October Yearling Sale, Book 1 2024 lot 255 C. by Starman (GB) 2023, Redpender Stud, Ireland=>George Boughey 200,000 gns