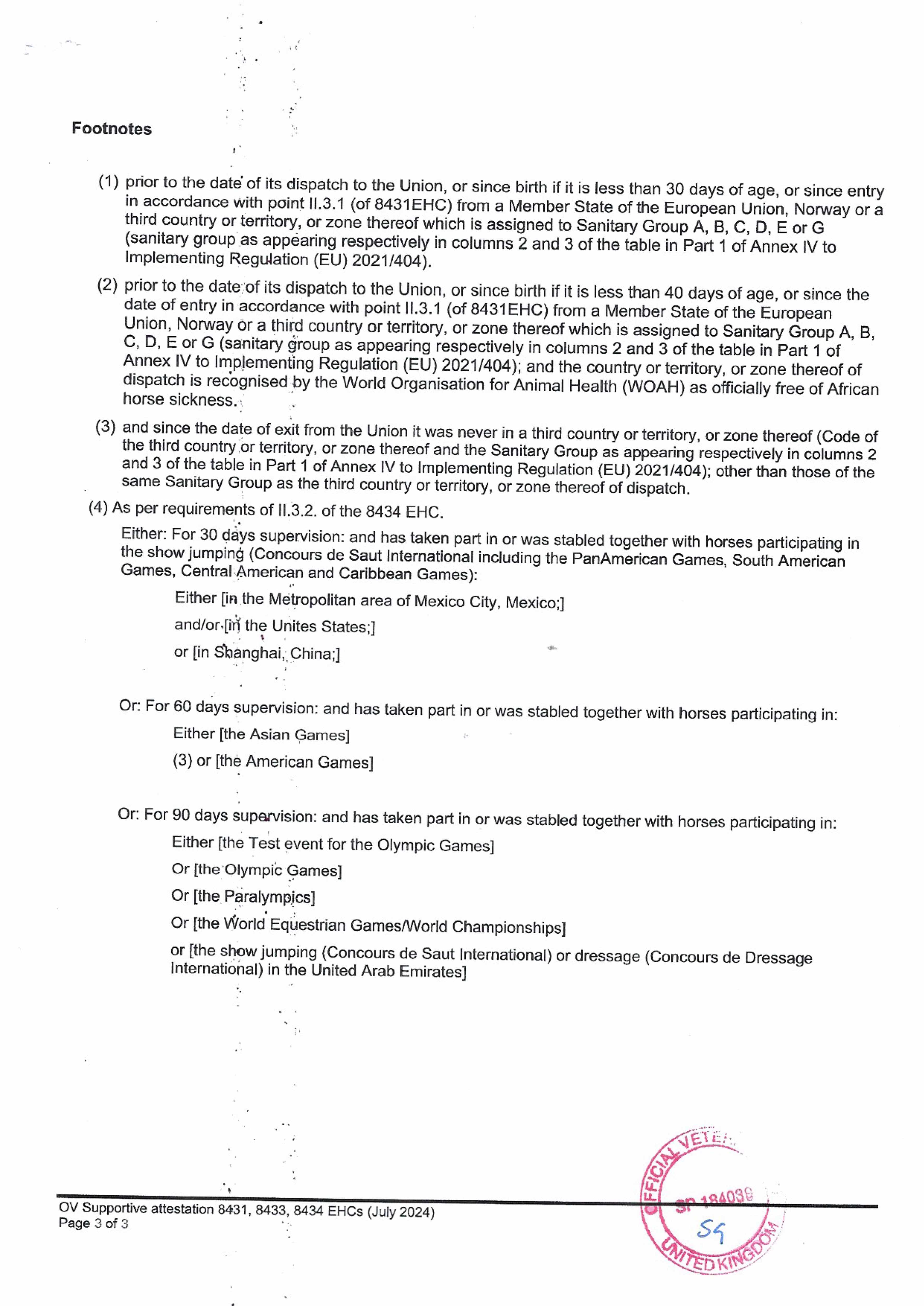
Lot 414
Dubawi (IRE) / Shirocco Star (GB) B.C. (GB)

Purchaser:
Godolphin
Price:
750,000 gns

Info

Consignor: Meon Valley Stud

Catalogue Updates

Sunday 6 October:  Half sister: MISTRAL STAR (GB) (2020 f. by Frankel (GB)), placed 5 times, £137,857 including third in Prix de Royallieu, ParisLongchamp, Gr.1, also fourth in Yorkshire Oaks, York, Gr.1.

Documentation

Repository

X-rays / Endoscope (veterinary access only)

Media

Other Sales for this Lot

February Sale 2026 lot 110, Godolphin=>Compas Equine / Iain Jardine 25,000 gns 

Sales for Full Brothers/Sisters

October Yearling Sale, Book 1 2018 lot 113 C. 2017, Meon Valley Stud=>Stroud Coleman Bloodstock 1,100,000 gns 

Sales for Half Brothers/Sisters

October Yearling Sale, Book 1 2023 lot 99 C. by Kingman (GB) 2022, Meon Valley Stud=>Godolphin 750,000 gns 

Autumn Horses in Training Sale 2018 lot 893 Starcaster (GB) (C. by Dansili (GB)), Summerdown Stables (H. Morrison)=>Jedd O'Keeffe 35,000 gns 

October Yearling Sale Book 1, 2017 lot 212 C. by New Approach (IRE) 2016, Meon Valley Stud=>Vendor 180,000 gns 

October Yearling Sale Book 1, 2016 lot 316 C. by Dansili (GB) 2015, Meon Valley Stud=>Vendor 60,000 gns