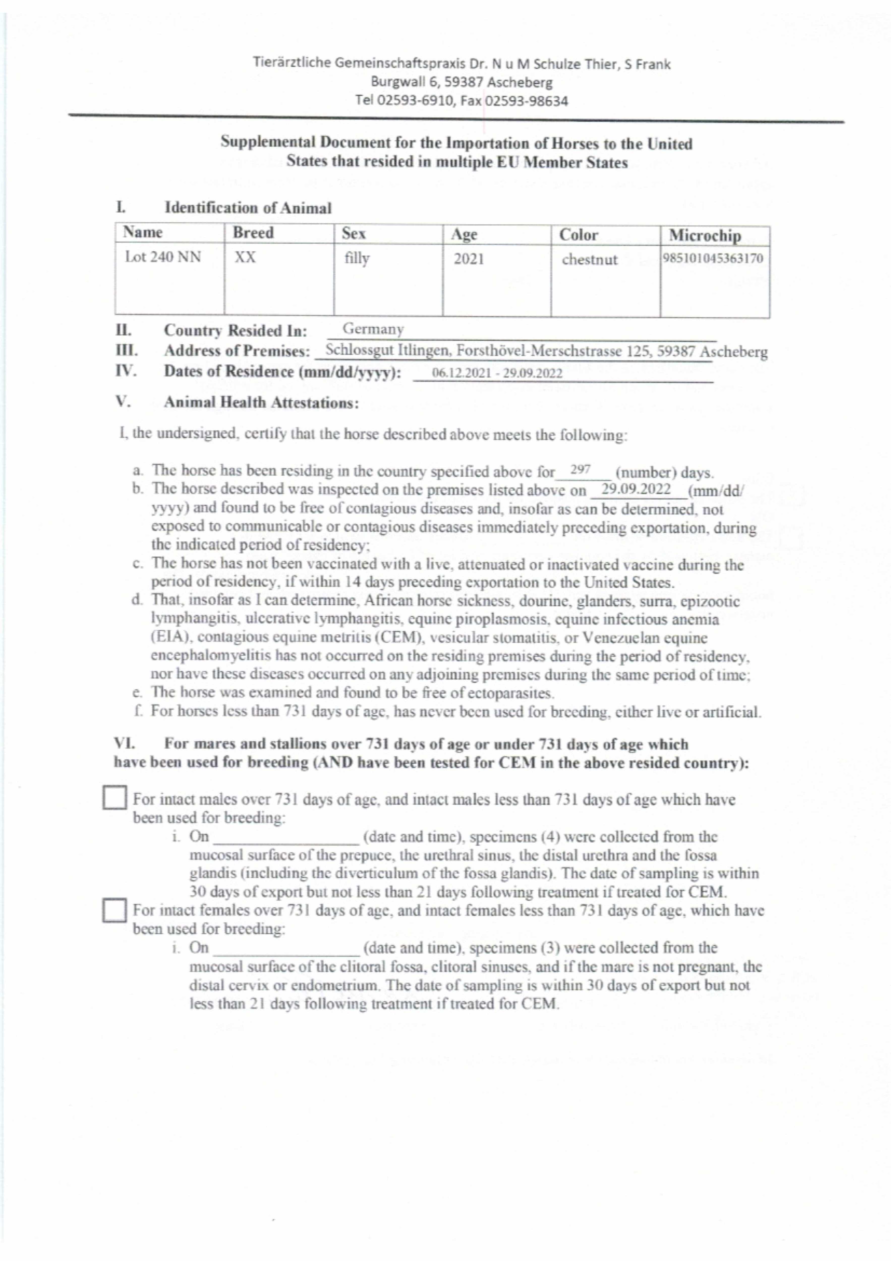
Lot 240
Night of Thunder (IRE) / Sweety Dream (FR) Ch.F. (IRE)

Purchaser:
Godolphin
Price:
550,000 gns

Info

Consignor: Stauffenberg Bloodstock

Contact: Philipp Graf Stauffenberg  ✆ +491716507181  ✉ bloodstock@stauffenberg.com

Location: Schlossgut Itlingen, Forsthoevel-Merschstrasse 125, D 59387 Ascheberg-Herbern www.stauffenberg.com

Documentation

Media

Sales for Half Brothers/Sisters

December Mare Sale 2025 lot 1441 Town And Country (IRE) (F. by Earthlight (IRE)), Castledillon Stud, Ireland (Agent)=>Ace Stud 600,000 gns 

October Yearling Sale, Book 1 2023 lot 135 F. by Earthlight (IRE) 2022, Oghill House Stud, Ireland=>Windgates Stud 160,000 gns 

December Mare Sale 2022 lot 1923 Are We Dreaming (IRE) (F. by Kendargent (FR)), Oghill House Stud, Ireland=>BBA Ireland 220,000 gns