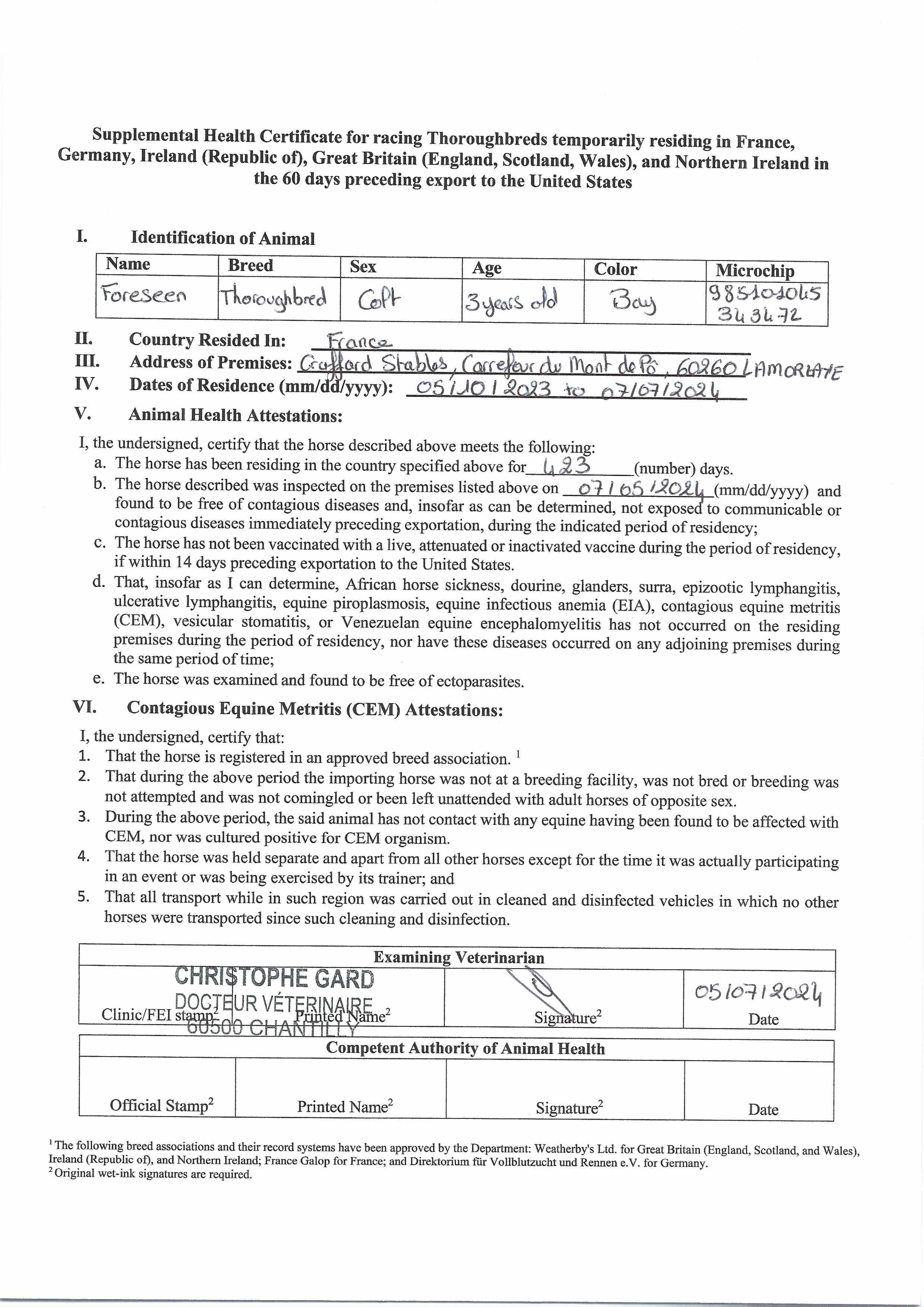
Lot 548
Foreseen (GB) B.C.

Purchaser:
Tom Cusden
Price:
5,000 gns

Info

Consignor: Juddmonte

Documentation

Repository

Endoscope (veterinary access only)

Media

Sales for Half Brothers/Sisters

December Mare Sale 2025 lot 1430 Revoke (GB) (F. by Blue Point (IRE)), Juddmonte=>Newsells Park Stud 220,000 gns 

Autumn Horses In Training Sale 2022 lot 1082 Classic Order (GB) (G. by No Nay Never (USA)), Juddmonte Farms=>O'Byrne & Grassick 25,000 gns 

September Yearling Sale 2020 lot 118 C. by Dabirsim (FR) 2019, The Castlebridge Consignment=>Peter & Ross Doyle Bloodstock £36,000