Lot 188
Amiravati (GB) Ch.F.

Purchaser:
Haras des Trois Chapelles
Price:
135,000 gns

Info

Consignor: The Castlebridge Consignment

Contact: Emma Palmer   ✆ 01638561116  ✉ sales@castlebridgesales.com

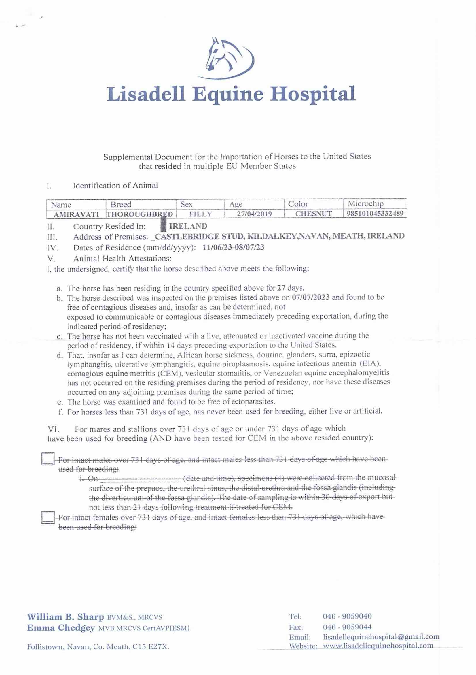
Documentation

Media

Sales for Half Brothers/Sisters

December Mare Sale 2025 lot 1302 Lunatarra (GB) (F. by Sea The Moon (GER)), Highclere Stud=>Kelly Equine Services 30,000 gns 

October Yearling Sale, Book 2 2023 lot 840 F. by Sea The Moon (GER) 2022, New England Stud=>Vendor 55,000 gns 

December Mare Sale 2022 lot 1543 Sense of Fun (USA) (M. by Distorted Humor (USA)), Godolphin=>Avenue Bloodstock 115,000 gns 

October Yearling Sale, Book 2 2021 lot 1136 F. by Postponed (IRE) 2020, New England Stud=>White Birch Farm / Demi O'Byrne 62,000 gns