Lot 184
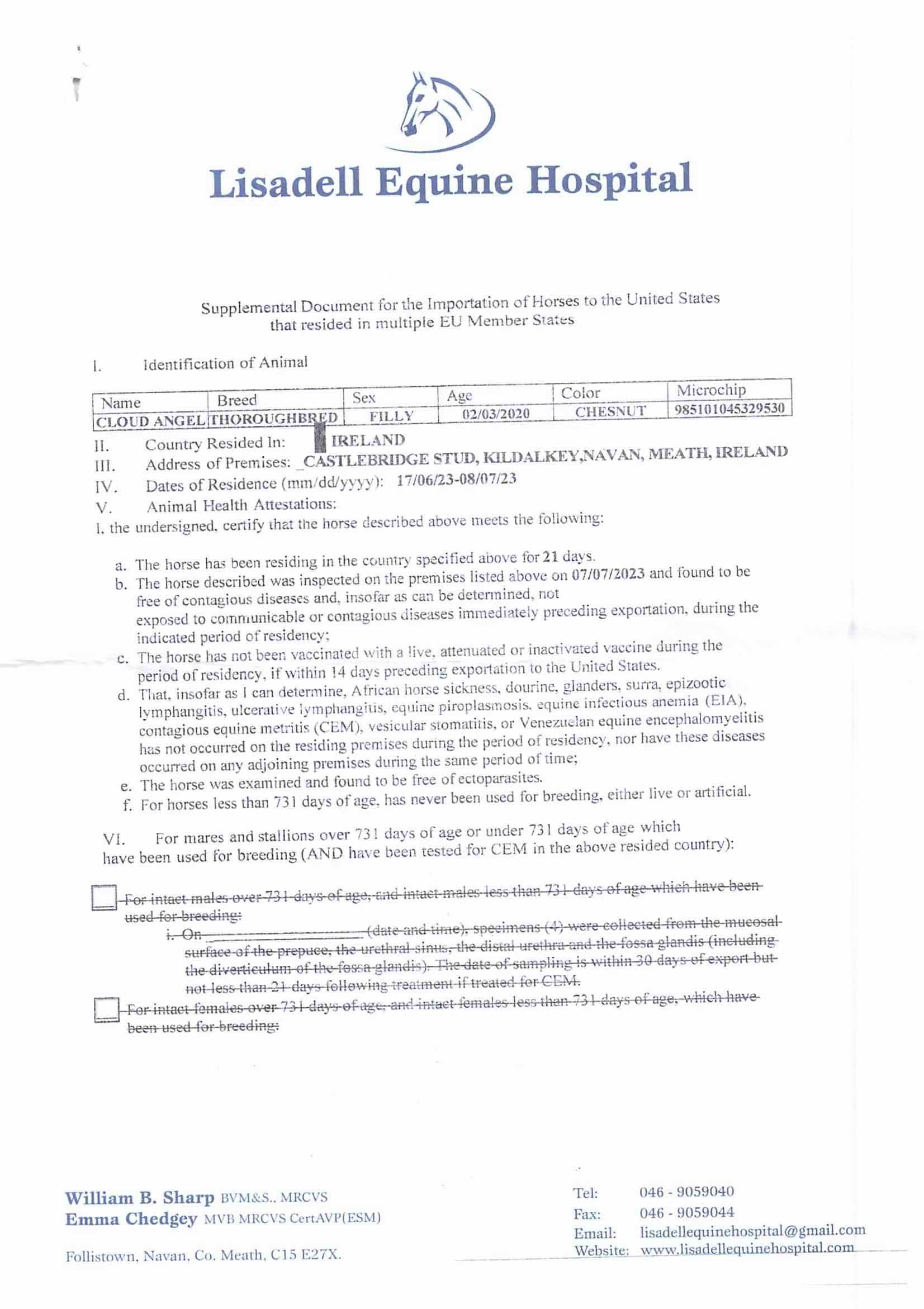
Cloud Angel (GB) Ch.F.

Purchaser:
McKeever Bloodstock
Price:
80,000 gns

Info

Consignor: The Castlebridge Consignment

Contact: Emma Palmer   ✆ 01638561116  ✉ sales@castlebridgesales.com

Catalogue Updates

Wednesday 28 June:  Sold WITH VAT
Tuesday 13 June:  CLOUD ANGEL (GB), won 1 race at 3 years, 2023 and placed once.

BHA Rating: High 72 (Flat); Latest 72 (Flat)
10/06/23 – 1st of 10 in 1m 4f Class 6 (Hcp), Catterick Bridge (GF)

Documentation

Media

Sales for Full Brothers/Sisters

December Mare Sale 2020 lot 1264 Lisbet (GB) (M.), The National Stud Ltd.=>Meah / Lloyd Bloodstock 35,000 gns 

Sales for Half Brothers/Sisters

December Foal Sale 2024 lot 757 F. by New Bay (GB) 2024, Barton Stud=>Peter & Ross Doyle Bloodstock 32,000 gns 

Autumn Horses In Training Sale 2024 lot 956 Eagle Angel (FR) (C. by Gleneagles (IRE)), The Castlebridge Consignment=>David Ellis CNZM / Te Akau Racing Australia / Hurworth Bloodstock 80,000 gns 

December Mare Sale 2023 lot 2071 Australian Angel (GB) (F. by Australia (GB)), The National Stud Ltd.=>London Thoroughbred Services 16,000 gns 

Guineas Horses in Training Sale 2021 lot 34 Eagle Terrace (GB) (G. by Gleneagles (IRE)), The Castlebridge Consignment=>Denis Hogan 17,000 gns 

December Mare Sale 2019 lot 1457 New Angel (GB) (F. by New Approach (IRE)), West Blagdon Stud=>Denali Stud Agent 28,000 gns