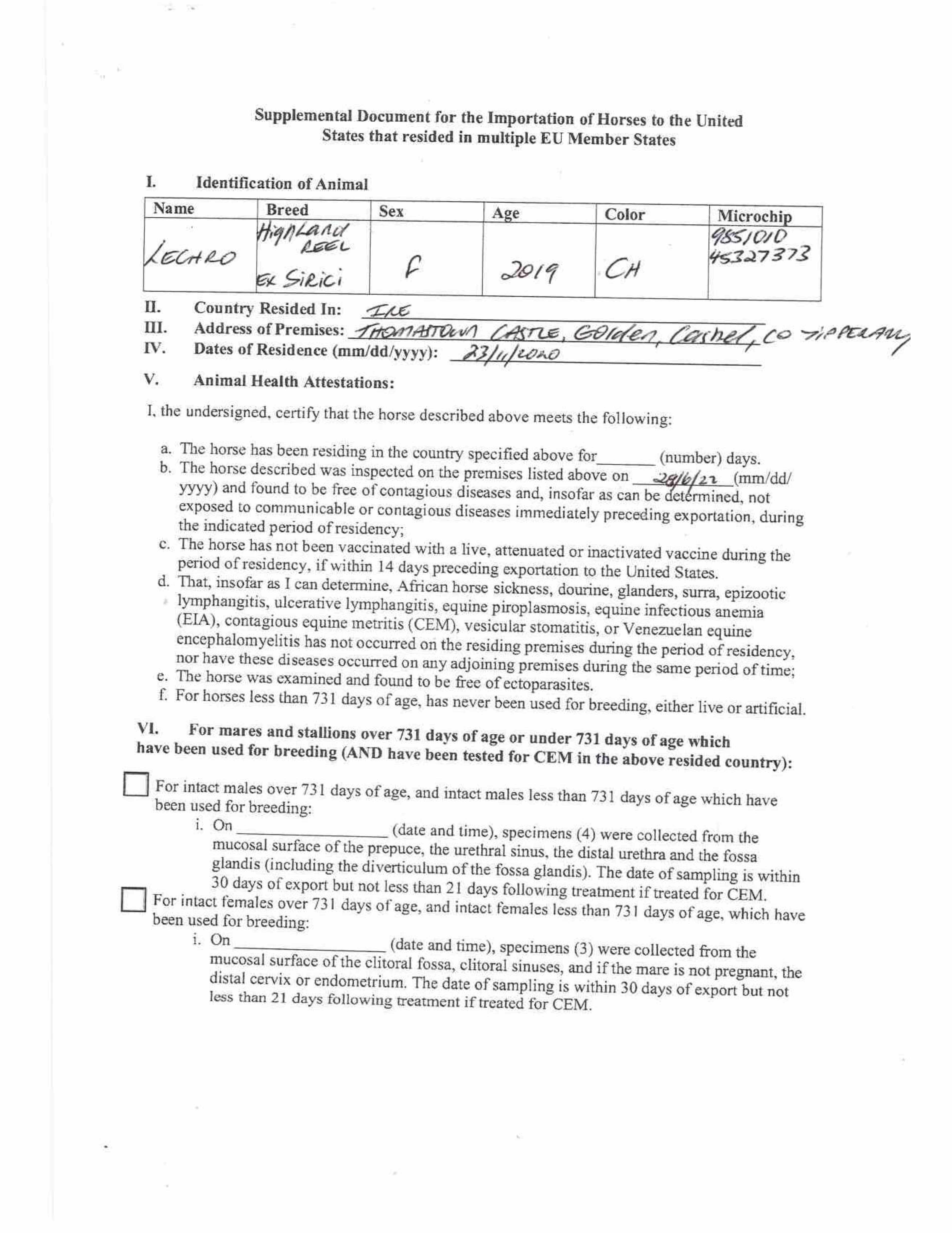
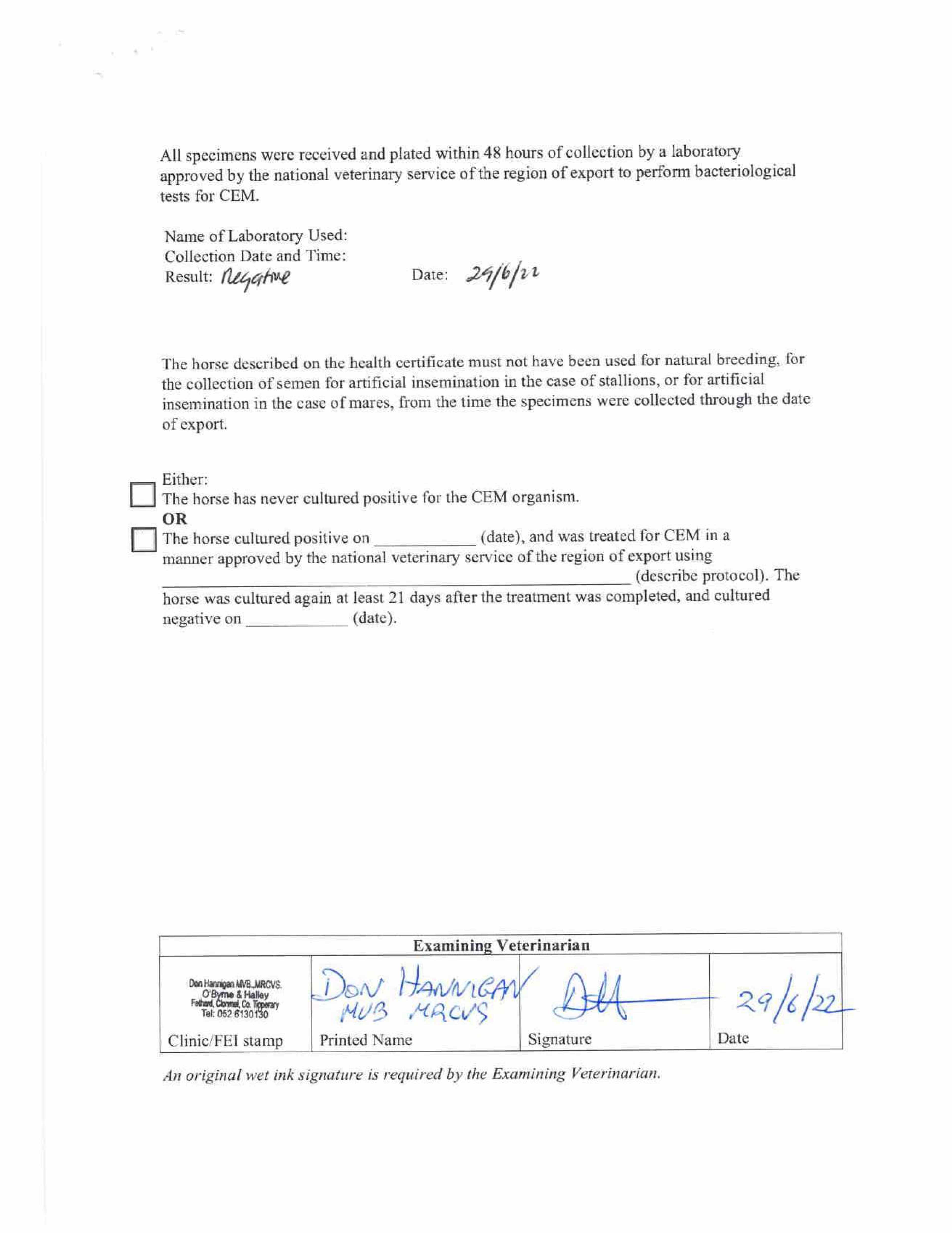
Lot 411
Lechro (IRE) Ch.F.

Purchaser:
Gary White
Price:
10,000 gns

Info

Consignor: The Castlebridge Consignment

Contact: Emma Palmer   ✆ 01638561116  ✉ sales@castlebridgesales.com

Catalogue Updates

Thursday 23 June:  2nd Dam MIRONICA (IRE), now dam on two winners including COPPERKNOB (IRE), won 1 race at 3 years, 2022.

Documentation

Media

Other Sales for this Lot

Autumn Horses In Training Sale 2023 lot 1557, Jamie Railton (Agent)=>Valfredo Valiani 1,000 gns 

Sales for Half Brothers/Sisters

Autumn Horses In Training Sale 2024 lot 579 Myconian (IRE) (G. by Magna Grecia (IRE)), Amy Murphy Racing=>Lot Not Sold 14,000 gns 

September Yearling Sale 2023 lot 437 C. by Circus Maximus (IRE) 2022, Whitethorn House=>Lot Not Sold €15,000

September Yearling Sale 2022 lot 189 C. by Magna Grecia (IRE) 2021, Whitehall Stud=>LDS Bloodstock €27,000