Lot 1711
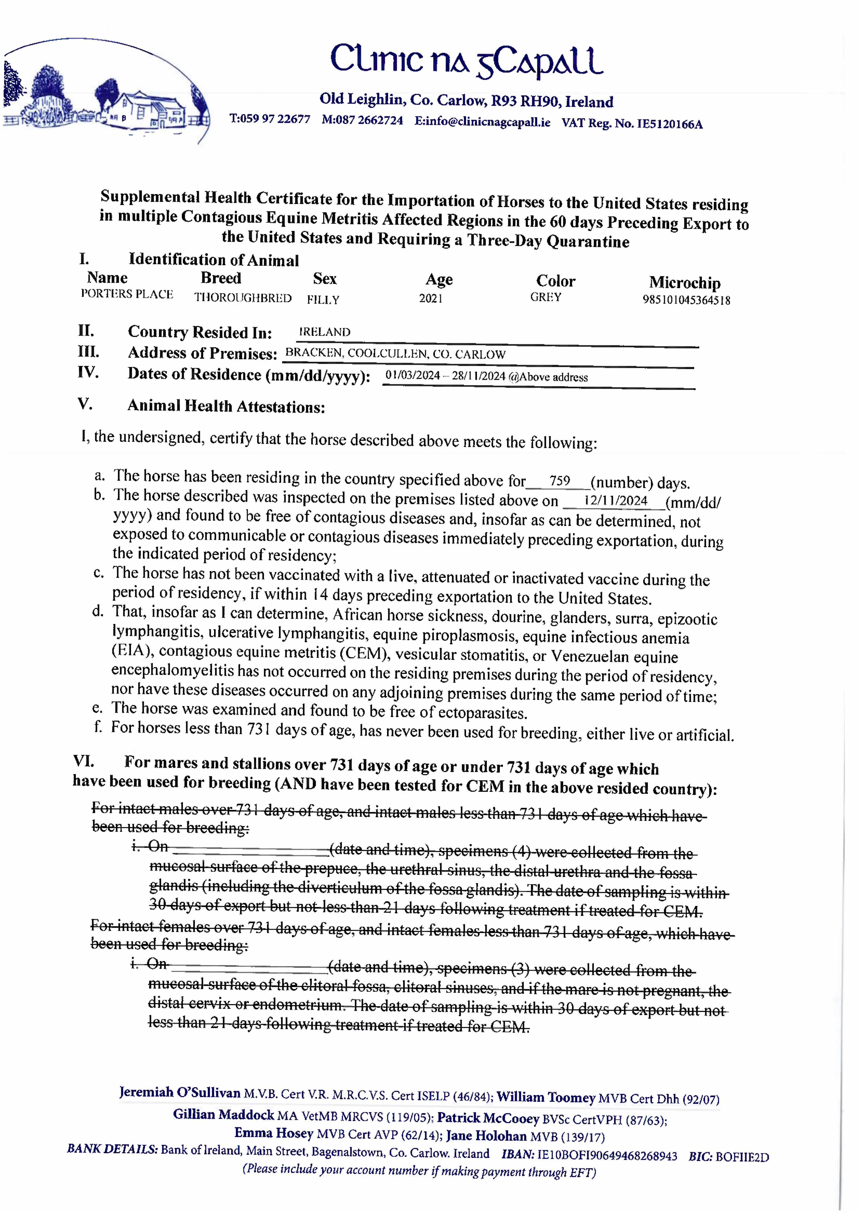
Porters Place (IRE) Gr.F.

Purchaser:
Hamwood Stud
Price:
85,000 gns

Info

Consignor: Athassel House Stud, Ireland (P. Twomey)

Documentation

Media

Other Sales for this Lot

October Yearling Sale, Book 2 2022 lot 875, Harry Dutfield=>Paddy Twomey 70,000 gns 

Sales for Half Brothers/Sisters

October Yearling Sale, Book 2 2021 lot 967 C. by Zoffany (IRE) 2020, The Castlebridge Consignment=>David Redvers 125,000 gns 

August Sale 2021 lot 412 King Zain (IRE) (C. by Kingman (GB)), Kingsley Park=>Vendor 30,000 gns 

Autumn Horses in Training Sale 2014 lot 734 Savant (IRE) (C. by Oasis Dream (GB)), Freemason Lodge Stables (Sir M. Stoute)=>Emerald Bloodstock 18,000 gns