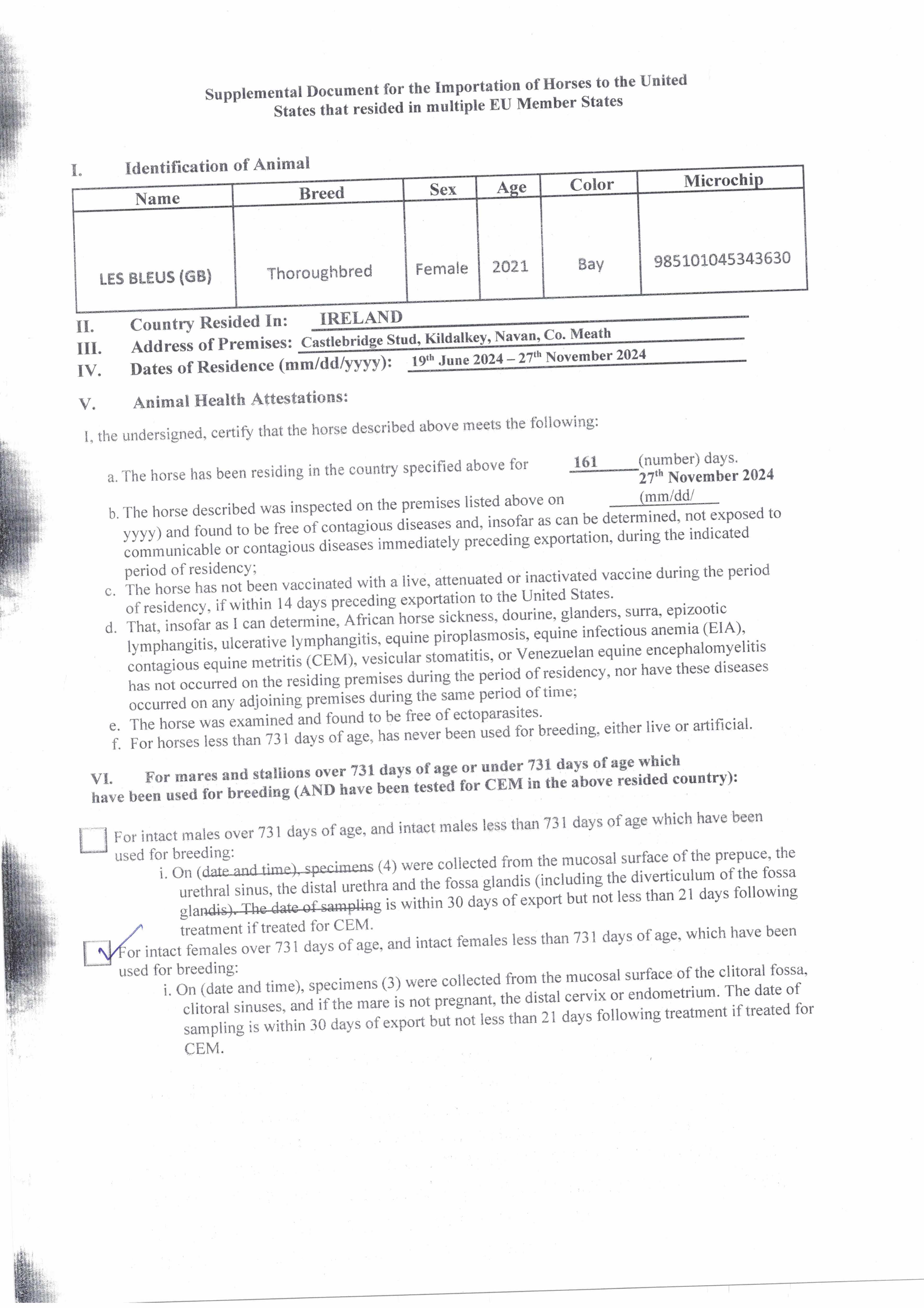
Lot 1478
Les Bleus (GB) B.F.

Purchaser:
JS Company
Price:
180,000 gns

Info

Consignor: The Castlebridge Consignment

Contact: Emma Chandler  ✆ 01638 561116  ✉ sales@castlebridgesales.com

Documentation

Media

Other Sales for this Lot

December Mare Sale 2023 lot 1709, Baroda Stud, Ireland=>Vendor 190,000 gns 

September Yearling Sale 2022 lot 468, Baroda Stud=>Brown Island Stables €52,000

Sales for Half Brothers/Sisters

February Sale 2026 lot 68 American Flight (IRE) (F. by Starspangledbanner (AUS)), The Castlebridge Consignment=>Metropolitan 60,000 gns 

October Yearling Sale, Book 2 2024 lot 819 F. by Starspangledbanner (AUS) 2023, Loughtown Stud, Ireland=>Hamish Macauley / MV Magnier 230,000 gns 

July Sale 2024 lot 10 Lory (GB) (M. by Iffraaj (GB)), The National Stud Ltd.=>Lot Not Sold 16,000 gns 

Online Sale - 18th January 2024 lot 56 Lory (GB) (M. by Iffraaj (GB)), SCW Bloodstock=>Lot Not Sold 1,500 gns 

October Yearling Sale, Book 2 2023 lot 1160 C. by Harry Angel (IRE) 2022, Loughtown Stud, Ireland=>Hurworth Bloodstock 155,000 gns 

Autumn Horses In Training Sale 2022 lot 64 Persian Gold (IRE) (C. by Night of Thunder (IRE)), The Castlebridge Consignment=>Amer Alajmi 5,000 gns 

February Sale 2022 lot 150 Lory (GB) (F. by Iffraaj (GB)), Godolphin=>Julie Camacho 32,000 gns