Lot 1424
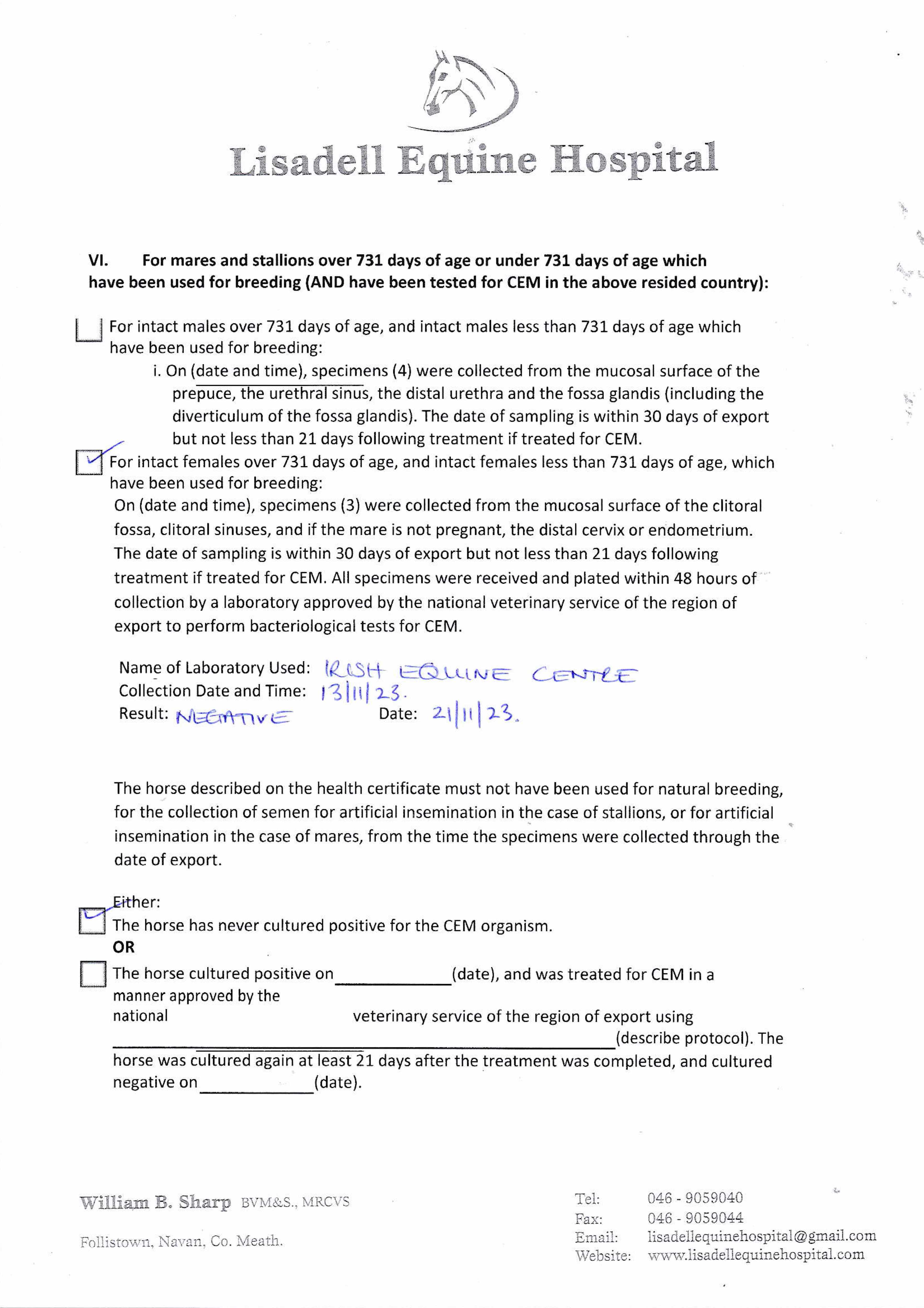
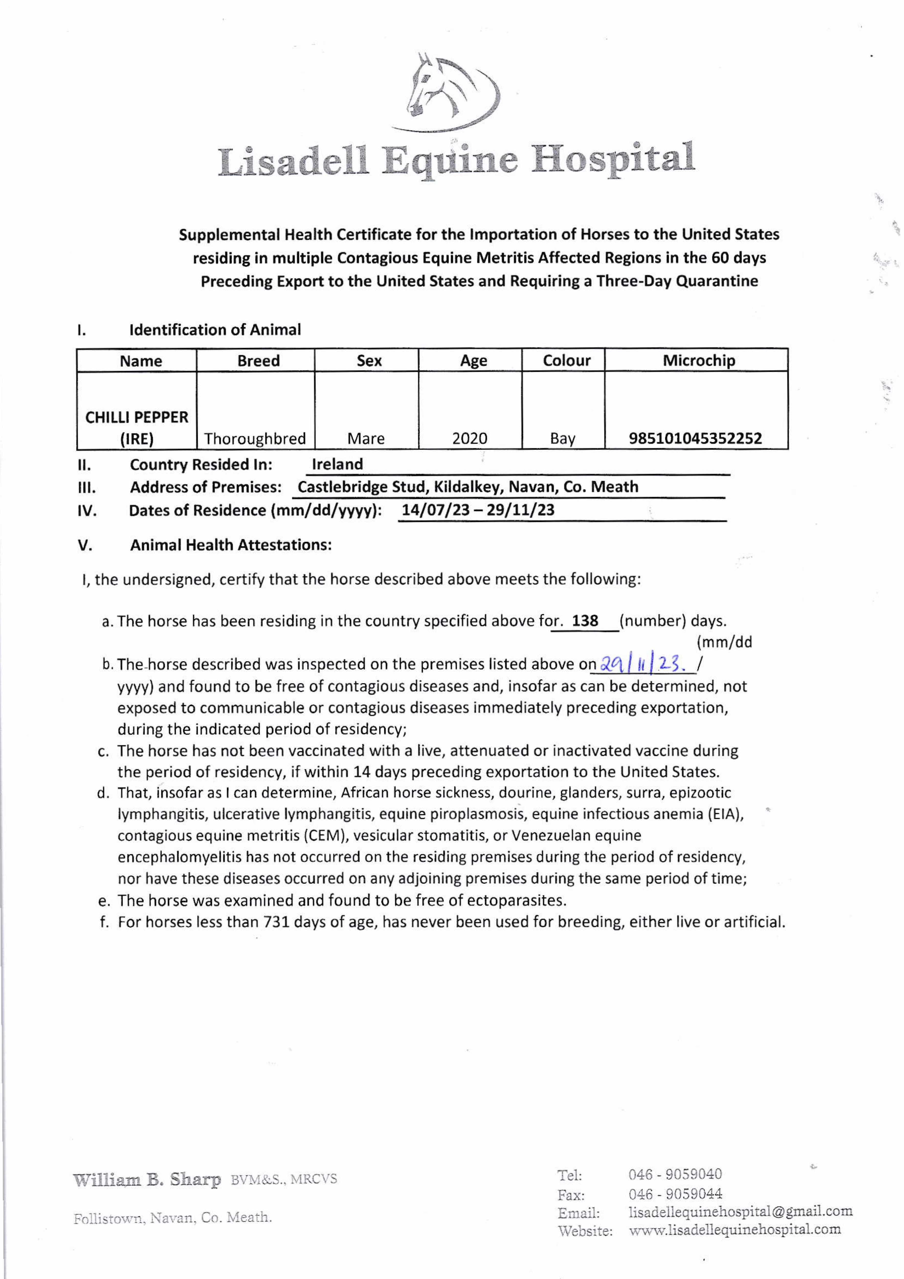
Chilli Pepper (IRE) B.F.

Purchaser:
McKeever Bloodstock
Price:
65,000 gns

Info

Consignor: The Castlebridge Consignment

Contact: Emma Chandler  ✆ 01638 561116  ✉ sales@castlebridgesales.com

Catalogue Updates

Saturday 2 December:  Under 2nd dam, LOVE DIVINE (GB), dam of KISSING (GB), dam of JUST ONE KISS (GB):; dam of MANY TEARS (IRE), won 3 races at 3 years, 2023 and £40,823 including Cooley Stakes, Dundalk, L., placed once.
Friday 20 October:  Half brother: BULLS AYE (IRE) (2018 g. by Intello (GER)), won 3 races at 2 and 5 years, 2023 and £24,327 and placed 7 times.

Documentation

Media

Other Sales for this Lot

July Sale 2023 lot 632, The Castlebridge Consignment=>NC Racing 25,000 gns 

Sales for Full Brothers/Sisters

October Yearling Sale, Book 2 2023 lot 828 C. 2022, Norelands Stud, Ireland=>Stroud Coleman Bloodstock 175,000 gns 

Autumn Horses In Training Sale 2021 lot 836 Al Aabir (IRE) (G.), Shadwell Estate Company Ltd.=>Go Racing New Zeland 50,000 gns 

October Yearling Sale, Book 2 2020 lot 1349 C. 2019, The Castlebridge Consignment=>Shadwell Estate Company 200,000 gns