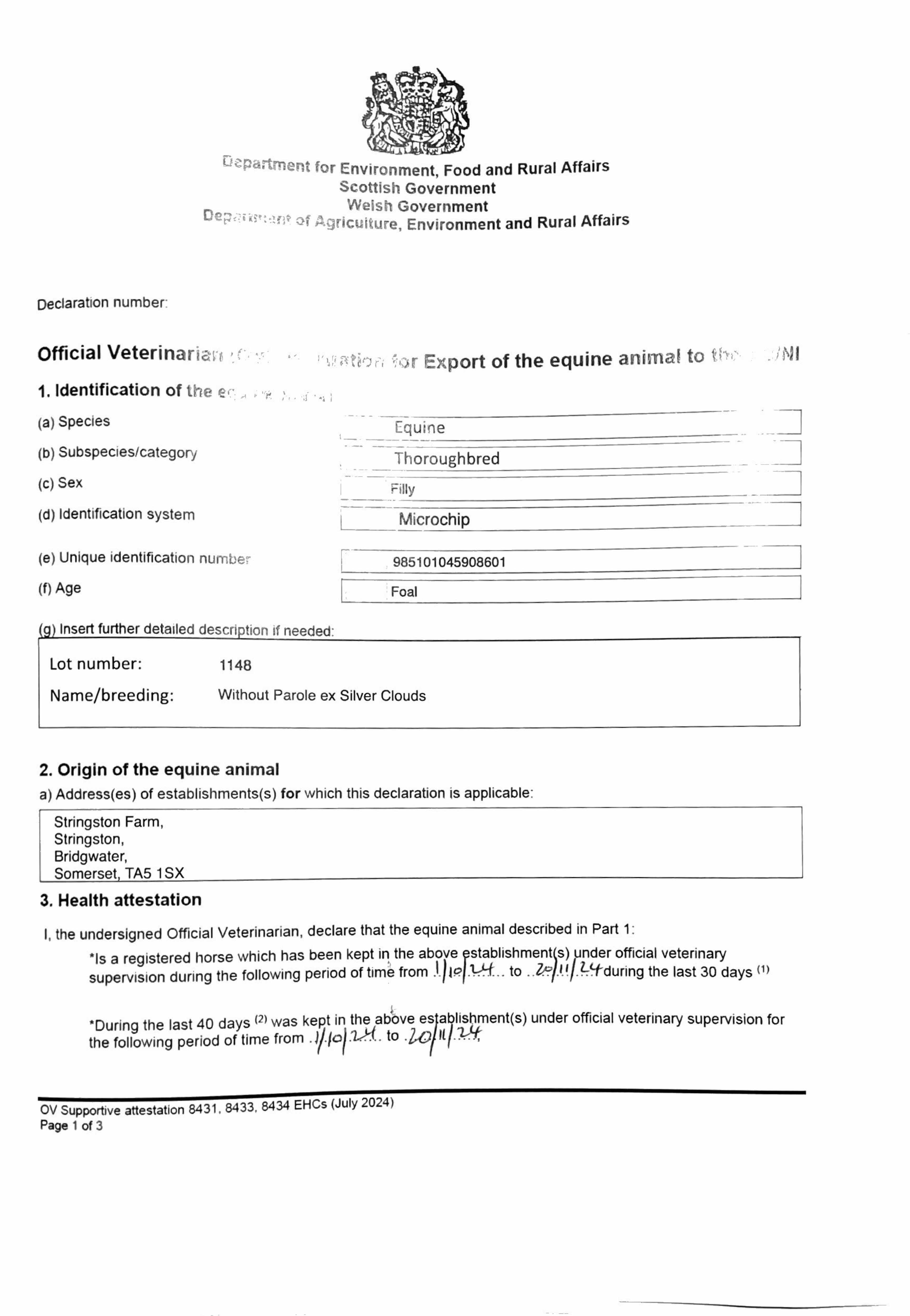
Lot 1148
Without Parole (GB) / Silver Clouds (IRE) B.F. (GB)

Purchaser:
Silver Lining Bloodstock
Price:
1,000 gns

Info

Consignor: Stringston Farm

Catalogue Updates

Wednesday 23 October:  Under 3rd dam, ALL AT SEA (GB), dam of: KINGSWOOD (GB), 3 races at 3 and 5 years, 2024/25 at home and in Australia including Coongy Cup, Caulfield, Gr.3.

Documentation

Other Sales for this Lot

October Yearling Sale, Book 3 2025 lot 1615, Sherbourne Lodge, Ireland=>MRC International 17,000 gns 

Sales for Half Brothers/Sisters

Autumn Horses In Training Sale 2025 lot 1582 Supa Dupa (GB) (C. by Masar (IRE)), James Owen Racing=>Dan Astbury 1,000 gns 

October Yearling Sale, Book 2 2023 lot 691 C. by Masar (IRE) 2022, Kilminfoyle House Stud, Ireland (Agent)=>Stetchworth And Middle Park Studs 68,000 gns 

February Sale 2023 lot 178 Lilla Cross (GB) (F. by Night of Thunder (IRE)), Hambleton Lodge Stables (K. Ryan)=>CA Dunnett 9,000 gns 

December Foal Sale 2022 lot 1198 C. by Masar (IRE) 2022, Stringston Farm=>JC Bloodstock 50,000 gns 

Somerville Yearling Sale 2022 lot 51 C. by Land Force (IRE) 2021, Stringston Farm=>Meadowview Stables 12,000 gns 

Guineas Horses in Training Sale 2022 lot 70 El Camino (GB) (G. by Gleneagles (IRE)), Langham Racing Stables (M. Appleby)=>Edgar Byrne / Maria Johansson 4,000 gns 

July Sale 2021 lot 438 El Camino (GB) (G. by Gleneagles (IRE)), The Castlebridge Consignment=>Mick Appleby 14,000 gns 

December Foal Sale 2020 lot 521 F. by Night of Thunder (IRE) 2020, Stringston Farm=>Peter & Ross Doyle Bloodstock 32,000 gns 

October Yearling Sale, Book 3 2020 lot 1609 F. by Postponed (IRE) 2019, Stringston Farm=>Levent Nezirov 2,500 gns 

December Foal Sale 2018 lot 568 C. by Gleneagles (IRE) 2018, Stringston Farm=>Lot Not Sold 19,000 gns